IEEE CCTA 2025 Workshop – 13:30 – 17:00, August 24, 2025, San Diego, CA, USA.
Harmonic Control Arrays
Design, Simulation and Implementation
by Dr. Murat Dogruel
Istanbul 29 Mayis University, Türkiye
mdogruel@29mayis.edu.tr

Abstract
This workshop introduces Harmonic Control Arrays (HCA), a novel control methodology specifically designed to address control systems involving periodic references or disturbances. HCA provides a structured approach to achieving perfect periodic tracking and mitigating the effects of periodic disturbance signals, thereby enhancing system performance. This workshop offers a comprehensive overview of HCA, encompassing its theoretical foundations, practical implementation utilizing tools such as Simulink, and real-world applications in domains such as power electronics and mechanics. Participants will acquire hands-on experience with HCA through simulations and learn to effectively apply it to systems subject to periodic disturbances or references. The workshop also examines the relationship between HCA and traditional feedback control, elucidating its advantages in managing harmonic content.
Keywords
Harmonics, Periodic Disturbances, Periodic References, Repetitive Control, Internal Model Control, MPC, PID, Adaptive Control, Power Electronics, Vibration Suppression
Objectives
- Provide a clear understanding of the principles behind Harmonic Control Arrays (HCA) and its suitability for systems with periodic signals.
- Equip participants with the knowledge and skills to implement HCA in their own control applications, using readily available tools.
- Demonstrate the effectiveness of HCA through real-world examples, case studies, and hands-on simulations.
Motivation
Periodic disturbances and the need to track periodic reference signals pose significant challenges to many control systems. Traditional control methods often encounter difficulties in effectively managing these situations, particularly for delayed, nonlinear, and perturbed systems, resulting in suboptimal transient states, tracking performance, or instability. The HCA provides a robust and systematic approach to address these challenges, facilitating the design of high-performance control systems in the presence of periodic signals. This workshop addresses the need for engineers, scientists, academicians, and students to acquire specific techniques for managing harmonics and periodic signals in control systems.
Prerequisite Skills of Participants
- Basic understanding of undergraduate level knowledge of control systems concepts (e.g., feedback control, frequency response, sampled data systems).
- Familiarity with Fourier analysis and periodic functions.
- Experience with a programming language such as MATLAB/Simulink (recommended).
- Interest in learning a novel technique for handling periodic signals in control systems.
Intended Audience
The workshop is anticipated to be of significant value to individuals with an interest in control:
- Graduate students, applied researchers, and industry practitioners in control engineering, power electronics, robotics, and related fields,
- System engineers and designers aiming to enhance the performance of their control systems in the presence of harmonics,
- Theoretical researchers and academicians investigating the stability and control of systems with periodic inputs,
- Anyone interested in learning a specialized control technique for periodic signal management.
All presentations will incorporate a tutorial component and may be beneficial to researchers and practitioners aspiring to contribute to this research field.
Duration
Half day (Afternoon)
Workshop Schedule
13:30 – Introduction to Harmonic Control Arrays (HCA)
14:00 – MATLAB/Simulink Modelling and Simulation of HCA
14:30 – Coffee Break
15:00 – Microcontroller and FPGA Implementation of HCA
15:15 – Comparison with PID, IMC, and MPC Methods
15:35 – Applications of HCA in Power Electronics
15:50 – Applications of HCA to Nonlinear and Chaotic Systems
16:05 – Piecewise Constant Periodic References
16:20 – A Tuning Rule for Complex PI Gains of HCA
16:40 – Q&A and Open Discussion
17:00 – End of Workshop
A total of 180-minute presentations.
Topic Details
(Please see the references provided for further details about the topics.)
Introduction to Harmonic Control Arrays (HCA)
Motivation and Overview; Unitary feedback systems and the role of the integral control; The problem of periodic disturbances and references in control systems; Introduction to the core principles of HCA; Benefits and limitations of HCA compared to traditional methods.

MATLAB/Simulink Modelling and Simulation of HCA
Discrete-time implementation of HCA; Complex valued internal signals; Implementation of the Disperser, HCA PI and Assembler blocks in Simulink. Various performance tests.





Microcontroller and FPGA Implementation of HCA
Real-time microcontroller implementation algorithm of HCA; C program details; An electronic circuit control example; FPGA implementation results.




Comparison with PID, IMC and MPC Methods
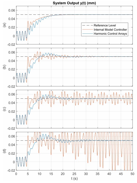
Periodic position control of a DC motor model; Comparison of PID, MPC, and HCA performances for exact and perturbed system models; Comparison of internal model control and HCA on an application of hot rolling mill process.


Application of HCA in Power Electronics
Adaption of the HCA technique to control a single-phase standalone inverter system: Presentation of experimental results.



Application to Nonlinear and Chaotic Systems
The HCA control applications to a nonlinear electronic circuit, a non-linear inductor whose core shows saturation and hysteresis, and various chaotic systems with a pure sinusoidal reference signal.




Piecewise Constant Periodic References
Obtaining the complex reference dispersion vector for a smoothed version of a piecewise constant periodic pulse.


A Tuning Rule for Complex PI Gains of HCA
An effective tuning rule for the complex PI gains of HCA; Finding the optimal gains in Matlab; Performance tests on various system models.

Q&A and Open Discussion
Opportunity for participants to ask questions and discuss their own control problems related to periodic signals.
Presenter’s Short Bio:
Murat Dogruel received his B.S. degree in Electronics and Communication Engineering from Istanbul Technical University, Turkey, in 1988, and his M.S. and Ph.D. degrees in Electrical Engineering from The Ohio State University, Columbus, in 1992 and 1995, respectively. From 1995 to 2022, he served on the Faculty of Engineering at Marmara University, Istanbul, Turkey, where he attained the rank of full professor and chaired the Department of Electrical and Electronics Engineering. He was a Visiting Associate Professor in the Department of Electrical and Computer Engineering at the University of Miami from 2001 to 2003. From 2006 to 2008, he served as Dean of the Faculty of Engineering and Natural Sciences at the International University of Sarajevo, Bosnia and Herzegovina, and was Dean of the Faculty of Engineering at Marmara University from 2014 to 2017. He is currently with the Computer Engineering Department at Istanbul 29 Mayis University, Turkey. His research interests include control, signal and image processing, and power electronics. He has introduced the novel concept of Harmonic Control Arrays and is actively engaged in its theoretical and practical development.
References:
- https://hca.29mayis.edu.tr/
- M. Dogruel, “Harmonic control arrays,” presented at the Syst. Control Theory Workshop, Gebze, Turkey, Sep. 2005.
- M. Dogruel, H. H. Çelik, “Harmonic control arrays method with a real time application to periodic position control”, IEEE Trans. Control Syst. Technol., vol. 19, no. 3, pp. 521–530, May. 2011
- M.S. Karbasforooshan, M. Monfared, and M. Dogruel, “Application of the Harmonic Control Arrays Technique to Single-Phase Stand-Alone Inverters,” IET Power Electronics, vol. 9, no. 7, pp. 1445-1453, 2016
- M.F. Çelebi and M. Dogruel, “Microcontroller Implementation of Harmonic Control Arrays System, ” 6th International Conference On Systems And Control, 7-9 May 2017.
- M. Dogruel, “Modeling of Harmonic Control Arrays using MATLAB/Simulink with an Application to a Hot Rolling Mill Process”, European Control Conference (ECC), Bukresh, Romania, 2023.
- M. Arıca, R. Tunçel, and M. Dogruel, “Periodic Position Tracking of a DC Motor with PID, MPC and HCA Methods,” 24th National Conference on Automatic Control (TOK), Istanbul, Türkiye, 2023.
- R. Tunçel, and M. Dogruel, “Non-Linear Coil Circuit Control with HCA Method,” 24th National Conference on Automatic Control (TOK), Istanbul, Türkiye, 2023.
- Dogruel, M. “Control of Chaotic Systems using Harmonic Control Arrays”, ICCC 2024 – IEEE 25th International Carpathian Control Conference, May 22-24, 2024, Krynica Zdrój, Poland.
- Dogruel, M. ” Chaotic System Synchronisation with Harmonic Control Arrays”, 25th National Conference on Automatic Control (TOK), September 2024, Konya, Turkey.
